Etude fonction
-
Qqsdfgh dernière édition par
Bonjours je voudrai avoir une correction de cette exercice s'il vous plait merci.
On considère les fonctions f et g définies sur R par:

On notera Cf et Cg les courbes représentatives de ces fonctions dans un repère orthonormal (unité graphique: 2cm).
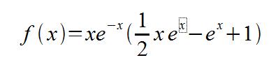
1.Montrer que f(x) peut s'écrire sous la forme:
En déduire la limite de f en -oo.
2.a)Déterminer la limite de f en +oo.
b)On considère la fonction h définie sur R par h(x)=f(x)-g(x).
Déterminer la limite de h en +oo.
Donner une interprétation graphique de ce résultat.
c)En utilisant le signe de h(x), étudier la position relative des courbes Cf et Cg.Merci d'avance.
-
LLeBoulet dernière édition par
Salut.
Il faut que ta première expression soit égale à ta deuxième expression de la fonction f
a=b
il faut que tu t'arrange pour avoir la même expression de f des deux côtés.
Un conseil, cherche plutôt à développer la deuxième expression de f et de la réduire. normalement, tu retrouveras la première expression de f
-
Qqsdfgh dernière édition par
Ha ok merci c'est bon j'ai trouvé tu raison c'est plus simple si on utilise la deuxieme Merci
Sinon pour la suite tu pourrais me dire quoi faire ? stp
-
Qqsdfgh dernière édition par
-
LLeBoulet dernière édition par
ta première limite est bonne +8 * +8 = +8
lim xe^(x) lorsque x tend vers -8 est une limite connue, et elle est égale à 0. Elle fait partie de celle que tu devrais connaître par coeur.
la 3ème vaut 0car e(x) lorsque x tend vers -8 est 0
-
Qqsdfgh dernière édition par
qd x -----> -oo
xex -----> 0
ex -----> 0donc [(1/2)xex - ex + 1] -----> 1
e-x -----> +oo
xe-x ------> -oo (car x<0)donc lim f(x) = -oo qd x ----> -oo
